
科研人员提出探测超子势的新方法
近期,中国科学院近代物理研究所雍高产研究员团队提出了探测超子势的新方法,为探索“中子星超子谜题”提供了新思路。相关研究成果发表于《物理快报B》(Physics Letters B)和《物理评论C》(Physical Review C)。
超子势(超子与核子之间的相互作用势)的研究近年来成为核物理与天体物理交叉领域的前沿热点,其核心目标在于破解困扰学界十余年的“中子星超子谜题”。传统理论认为,中子星内部在极高密度下会产生大量含奇异夸克的超子(如Λ粒子),这些粒子的出现会显著软化物质的状态方程,导致中子星最大质量降低。然而天文观测却接连发现质量接近甚至超过两倍太阳质量的中子星,这与理论预测形成了矛盾。
目前认为,超子势的密度依赖性可能是解开谜题的关键:若高密度下超子势呈现更强排斥性,便可能抵消状态方程的软化效应,从而允许大质量中子星存在。当前,基于重离子碰撞实验探测超子势是约束高密超子势的有效手段。然而,常规重离子碰撞中,超子多为碰撞后产生的次级粒子,其行为受到强子化过程、非弹性散射等多重因素影响,信号容易被背景噪声淹没。
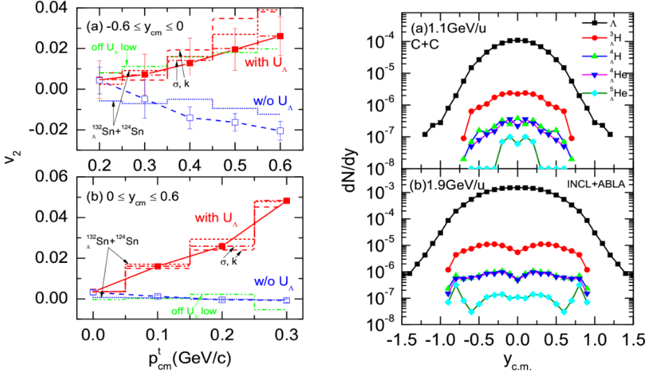
针对上述问题,近代物理所科研人员提出了一种新的实验设计方案,可排除次级粒子的干扰。该方案使用超核(含Λ超子的原子核)作为炮弹轰击普通原子核,并选择400 MeV的实验室能量(低于Λ超子产生阈值),以确保所有观测到的Λ超子均来自炮弹超核的“原生”成分,而非在碰撞过程中生成。通过分析计算Λ超子的椭圆流,研究者发现在负快度区域(对应碰撞压缩阶段的高密度区),椭圆流强度对高密超子势异常敏感;而在正快度区域(对应饱和密度附近),椭圆流强度则可反映较低密度的超子势强度。该方法可实现从实验室数据中直接提取不同密度区间的超子势强度参数。
此外,针对在我国低温高密核物质测量谱仪(CEE)上即将开展的碳碳反应研究,科研人员通过模拟该反应在不同能量下的碰撞,分析了轻超氚生成机制。研究发现,在低于Λ产生阈值的1.1 GeV能量下,超氚主要形成于高密度压缩区,其产额对高密度超子势变化敏感;而当能量升至1.9 GeV时,超氚更多产生于低密度旁观者区,此时产额反映低密度超子势的影响。值得注意的是,轻超氚产额对超子势的敏感度明显大于其对核物质状态方程的依赖,这为解决“物态方程-超子势耦合难题”提供了新见解。
该工作得到了国家自然科学基金委和中国科学院青年团队计划项目的支持。

左图:超核-原子核碰撞中的超子椭圆流随横动量的变化情况。上窗口对应负快度,下窗口对应正快度。图中展示了不同重子散射截面、不同物态方程、超子势的不同密度区间,以及不同的反应系统对超子椭圆流的影响。右图:碳碳碰撞中的轻超核产生的快度分布。上窗口对应1.1 GeV每核子束流能的情况,下窗口对应的是1.9 GeV情况。
文章链接:
https://doi.org/10.1016/j.physletb.2025.139549
https://doi.org/10.1103/PhysRevC.111.054617
(理论物理室 供稿)

甘公网安备 62010202000713号